我跟你们说,这拉氏变换的表格,我是被逼出来的,真是血泪教训。不是我吃饱了没事干,非得自己去整理这么一套速查手册。当年我在学校里考《信号与系统》的时候,真是栽了个大跟头,到现在想起来还觉得窝火。
那时候年轻气盛,觉得自己脑子还行,觉得常用的那些变换公式背背就得了,压根儿没把什么工程数学书后面的速查表当回事儿。结果?考试卷子发下来,一道大题,跑出来一个不常用的非标准函数,课本上那个角落里的公式,我死活就是想不起来。我当时就在想,我要是手边有个全乎的表,三秒钟就能把那个难点给突破了,可偏偏就是没有。
那天我差点就急哭了,时间一秒一秒走,硬是把那道送分题给扔了,那门课的成绩直接被拖垮了。后来工作了,做控制算法,解微分方程组,我才发现拉氏变换这玩意儿根本绕不过去。每次要查,要么是翻箱倒柜找那本已经快散架的旧教材,上面的字儿都快磨没了,要么是上网随便搜,结果搜出来的表,不是缺胳膊就是少腿,要么就是符号写得乱七八糟,‘s’和‘p’换来换去,简直能把人看疯。
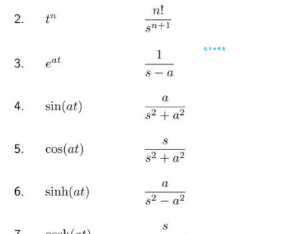
我实在是受不了这种效率低下的折腾了,我觉得必须得彻底解决这个问题。我决定自己动手,彻彻底底地搞一套最全、最可靠、符号最统一的速查表。我的第一步,是把我能找到的所有工程数学、电路分析、自动控制原理的教材,全都给我翻腾出来了。那些书,有些都快三十年了,纸都黄脆了,但里面的公式是实打实的。

全部搞定后,我打印出来,厚厚的一叠,装订得整整齐齐。它就贴在我书房的墙上,上面还用荧光笔画满了重点。这玩意儿的价值,不是它有几页纸,而是它能让你在关键时刻,省下那几十分钟翻书找资料的宝贵时间,尤其是在项目要命的时候。
你们可能觉得,我一个搞技术分享的博主,怎么老爱说一些跟技术不直接相关的事。做啥事都讲究一个“实战出真知”。像我当初,要不是因为那次考试的痛苦经历,我可能永远也不会花大力气去整理这么一套东西。
我以前在一家公司,干了快十年,结果你知道怎么着?公司说业务调整,一句话就给我“优化”了。当时我房贷车贷压着,一下子傻眼了。那帮领导平时称兄道弟,到了关键时刻,电话不接,微信拉黑,真是让我体会到了什么叫“人走茶凉”。
那段时间,我痛定思痛,觉得不能把所有希望都寄托在一个地方,得把自己的经验和实践记录下来,分享出去,这才是真正属于自己的东西。我把那些复杂的工程问题,都用最土最简单的方式解释出来,就像我这份拉氏变换表格一样,目的只有一个:让大家少走弯路,遇到困难能有个快速的抓手。

所以今天把这套表格放出来,不是为了显摆我有多牛逼,而是希望它能帮到屏幕前的你,特别是正在为工程数学头疼的兄弟们。赶紧收藏好了,这真能让你少掉几把头发,关键时刻保你不翻车。